皆様こんにちは😄
薬剤師国家試験の化学における立体化学の重要性と一番基本的な内容は別の記事で発信済ですが、とっても大事な範囲なので、いくつか補足記事を作成しておきます。
参考にしてください☺
本日は立体の表記方法を2つ解説します。
薬剤師国家試験は“くさび-破線表記”と“シクロヘキサンのイス型”に関する問題がほとんどですが、別の表記方法を用いた出題もございます。
それがフィッシャー投影式とニューマン投影式です☺
こんな表記方法でしたね

↑フィッシャー投影式

↑ニューマン投影式
出題数は多くありませんので、最低限知っておくべきことは以下の点です。
・フィッシャー投影式
RS配置がつけられるようになっていればOK
・ニューマン投影式
安定性の考え方を見ておけばとりあえずOK(構造の書き換え含む)
フィッシャー投影式
フィッシャー投影式はRS配置がつけられれば、他の立体化学に関する問題と変わりがありません。
さくっとご説明します☺
フィッシャー投影式は、昔の偉い方が考えた表記方法の1つであるため、そのルールを覚えるしかありません。以下のようなルールがあります。

上下の部分は“破線”、両サイドは“くさび”です。
フィッシャー投影式はこれだけです。例えばこんな問題が解ければOKです☺

こういった問題で「構造の書き換えなんて無理ですわ・・・」と思った方、構造の書き換えが大事なわけではありません。過去の国家試験でも、書き換えができなければ解けないという問題はほとんどありません。

上記より、正解は「1」です。
とりあえずフィッシャー投影式は、RS配置をつけられれば問題なしです。
念のためもう一問だけ練習しときましょう😄
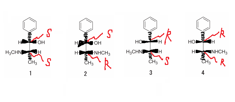
97回問101です、どうぞ🤨

これは命名の問題ではなく、フィッシャー投影式で表した構造にRSをつけることができればOKです😄
大丈夫でしょうか?くさびと破線を書き込んで、RSをつけるだけです!

よって、問題文通りメチルアミノ基が結合している炭素がS配置で、もう一方がR配置の構造は選択肢3ですね!
ちなみに、選択肢1と選択肢4、選択肢2と選択肢3はエナンチオマーの関係なので、RSが完全に逆です☺
ニューマン投影式
続いてニューマン投影式です。
これも表記のルールを覚える必要があります。また、この表記方法は化合物の安定性を比較できるため、その考え方を理解しましょう。
なお、構造の書き換えが必要になる問題が出題されています。ただ、ニューマン投影式自体の出題頻度は非常に低いため、余裕があれば学習するというスタンスで良いと思います。
第104回の問8です。

「あれ?この問題ニューマン投影式出てきてないけど・・・」
と思いますよね。
薬剤師国家試験の立体化学に関する問題で「安定性」を比較する場合、一番出題されるのは“シクロヘキサンのイス型”に関する問題です。
そしてもう一つが“ニューマン投影式”を使うものです。何度も言いますがほとんど出ていません( ゚Д゚)
よってこの問題は、シクロヘキサンではないため、ニューマン投影式を使うと考えます。
・安定性の比較
ニューマン投影式で書いたブタンの安定性比較の図がこちらです。

安定性は「ねじれ型>重なり型」です。
“重なり型”はその名の通り、置換基が重なっており安定性が低いです。
さらにねじれ型の中では「アンチ型>ゴーシュ型」です。
立体的に大きなメチル基が遠いアンチ型のほうが安定です。
なお、これらは全てブタンです。全く同じ化合物で形が違うだけなので“立体配座”ですね☺
・構造の書き換え
これはちょっと難しいですが、表記のルールが決まっているため、そのルールを覚えるだけです。
まずはニューマン投影式が何を表しているかです。

次に“くさび-破線表記”と“ニューマン投影式”の書き換えです。第104回の問題を使いながら進めましょう。機械的に進めます。選択肢1の構造を使います。

上図より、選択肢1は「アンチ型」ということがわかります。
同じように変換すると、他は全てゴーシュ型になります。
よって、正解は「1」です。
まとめ
いかがでしょうか。
立体化学の大半は「くさび-破線表記」による出題なので、本日の内容はマイナーなものです。
ただ、直近の国家試験でも出題はされているため、基本的なことだけは学習しておきましょう。
再度ポイント整理すると
・フィッシャー投影式
RS配置がつけられるようになっていればOK
・ニューマン投影式
安定性の考え方を見ておけばとりあえずOK(構造の書き換え含む)
以上です☺